LWL Lab
Molekulare Wirkstoff-Forschung mit Fluoreszenz

Technik

Hier erklären wir unserer Technik und die wissenschaftliche Grundlagen dazu:

 

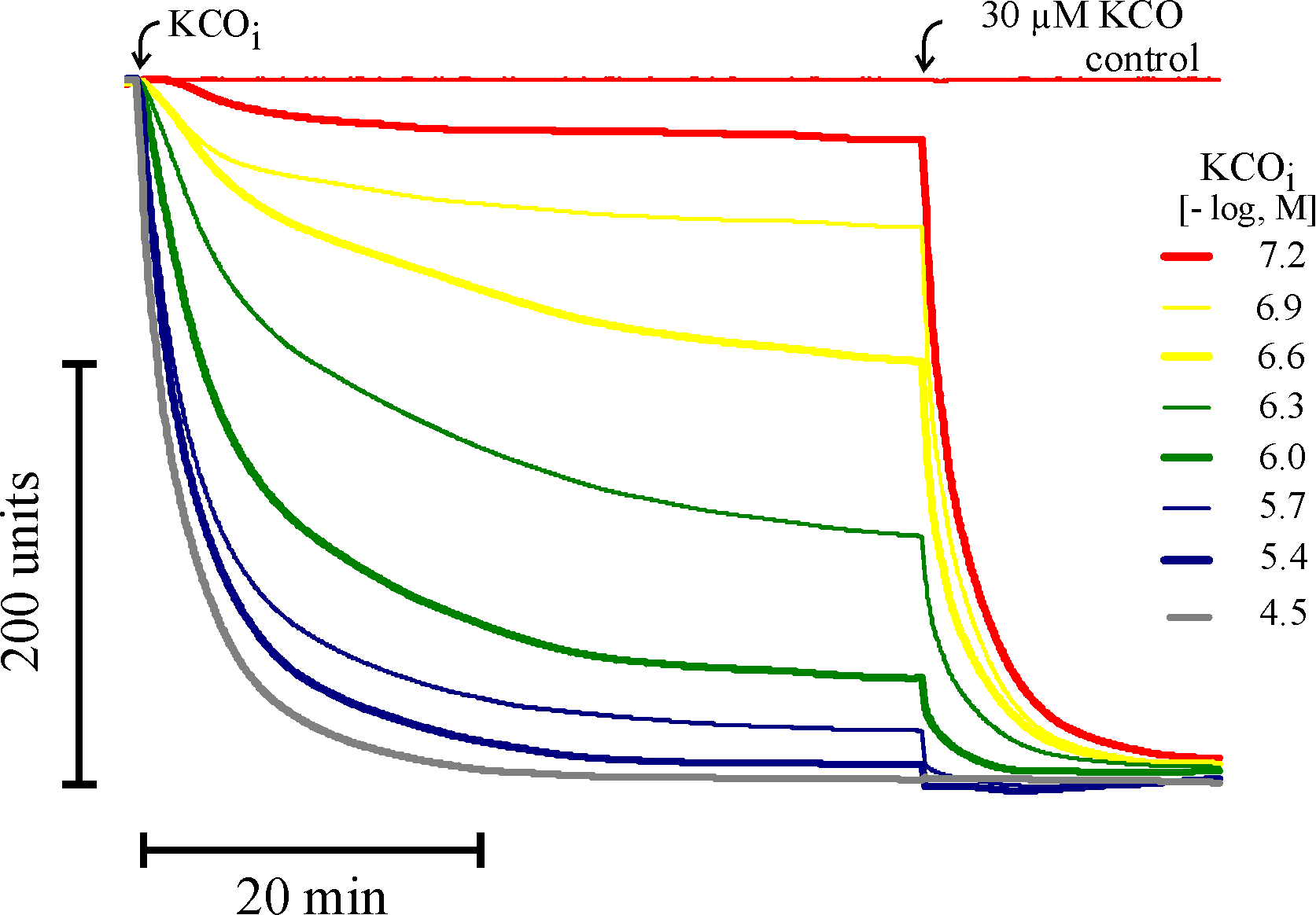
Fig. 1.1 Membranpotential: Hyperpolarisation durch Kaliumkanalöffner

1. Membrane potential

Using the dye DisBAC1(3) membrane potentials of native and artificial cell can be effectively measured. Fig. 1.1 shows hyperpolarization effects on CHO cells permanently transfected with K(ATP) channels (SUR1/Kir6.2) using a potassium channel opener (PCO) with increasing concentrations. The maximum hyperpolarization is achieved with 30 µM.


Fig.1.2: Repolarisation durch einen K(ATP)-Kanal Antagonisten (Glibenclamid)

The maximum hyperpolarization can be repolarized dose-dependently with the antagonist glibenclamide  (Fig. 1.2). The kinetics of repolarization exhibit different half times, decreasing when induced with increasing glibenclamide concentrations. Measurements were done with LWL-Lab fluorescence detector for 12-well strips (96-well format).
Excitation: 525±15 nm, light pulses with 10 msec duration at  10 Hz. Emmission: long pass  > 550 nm



In general: data acquisition is done with LWL-Lab Software on Win10 personal computers using Basiswith high sampling rates (96 kHz per channel) and various functionalities such as filter as 'moving average' or digital Besselfilter, Sqlite database system, data export to Excel, Origin and R-Project.



 

Fig. 2.1: Cell-Free-FRET (CFF) experiment on ß1AR(CFP/YFP) receptors using a ß-adrenoceptor agonist. HEK 293 cells were transfected with ß1AR(CFP/YFP) (permanent cell line) and seeded for 2 days in Petri dishes. After reaching confluency, cells were cracked using hypotonic TRIS/EGTA buffer, transferred into a black 384-well plate, centrifuged and measured in our FRET-Ratio-Detector. Increasing concentrations of isoprenaline induced a stepwise reduction of the fluorescence signal, before a minimum was reached after injection of 10 µM ISO.


Fig. 2.2: Using the data of Fig. 2.1 and 3 further experiments in CFF-technology a concentration-effect curve for isoprenaline was drived using non-linear regression resulting in an EC50  of ~0.2 µM.
 

 


Fig. 2.3: Cell-Free-FRET (CFF) experiment on ß1AR(CFP/YFP) receptors using a ß1AR-antagonist. Membranes drived from HEK 293 cells and transfected with ß1AR(CFP/YFP) were transferred into a black 384-well plate, centrifuged and measured in our FRET-Ratio-Detector. After prestimulation with 10 µM ISO (act 1) increasing concentrations of the ß1AR antagonist bisoprolol (act 2) induced a stepwise increase of the fluorescence signal comparing the 12 channels. In act 3, 100 µM bisoprolol induced a maximum increase of fluorescence in all channels.


Fig.2.4: Using the data of Fig. 2.3 and 3 further experiments in CFF-technology a concentration-effect curve for bisoprolol was driven using non-linear regression resulting in an EC50  of ~3.0 µM.

 


Fig. 2.5: FRET experiment in intact cells transfected with the cyclic AMP sensor Epac1(CFP/YFP) and ß2-adrenoceptors (ß2AR). Cells were seeded in 12-well strips (96-well format), grown up to confluency and measured in our FRET-Ratio-Detector. Increasing concentrations of isoprenaline induced a stepwise reduction of the fluorescence signal, before a minimum was reached after injection of 100 nM ISO. In act 2 a maximum effective concentration of ISO (30 nM) was added.

Fig. 2.6: Using the data of Fig. 2.5 and 3 further experiments a concentration-effect curve for isoprenaline was driven using non-linear regression with an EC50 of ~30 pM.